Ana Sayfa Etiket: istatistik
Etiket: istatistik
Danışan tatilcilerin %9’u Türk
Tem 03, 2018
[:tr]Kuyularönü bölgesinde faaliyet gösteren turizm danışma ofisi haziran istatistikleri açıklandı.[:]
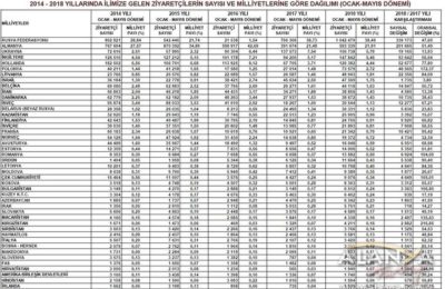
İlk 6 ay ziyaretçi istatistikleri
Tem 02, 2018
[:tr]Ocak-haziran döneminde Antalya'ya gelen ziyaretçilerin sayısı ve milliyetlerine göre dağılımı.[:]
En çok Almanlar danışıyor
Haz 05, 2018
[:tr]Kuyularönü bölgesinde faaliyet gösteren turizm danışma ofisinin istatistiklerine göre mayıs ayında bilgi alan misafirlerin 260’ı ofisi ziyaret ederek,...
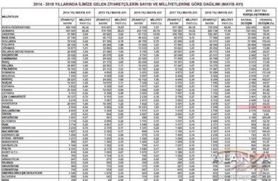
Mayıs ayı ziyaretçi istatistikleri
Haz 01, 2018
[:tr]Mayıs ayında Antalya'ya gelen ziyaretçilerin sayısı ve milliyetlerine göre dağılımı.[:]
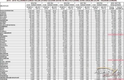
Ocak-Mayıs dönemi ziyaretçi istatistikleri
Haz 01, 2018
[:en]Ocak-Mayıs döneminde Antalya'ya gelen ziyaretçilerin sayısı ve milliyetlerine göre dağılımı.[:]








